Location : Home > Energy > Electric Circuit
Title : Chapter 5 / Phasor Notation
Toolbox Logo
Chapter 5 / Phasor Notation
複素数表記を使う意味

 回路の挙動を記述するのに複素数を使ったからと言って、虚軸の方向に電流が流れているというわけでもないだろう。んー、いや、ひょっとしたら高次元の生命体からはそう見えているのかも知れないが、空間的には3次元の住人でる人類には感知できないので、「そうではない」と感じておいても間違いではないだろう。それでも複素数表記を使う理由とはなんだろう。便利だから? まあ、そうなんだけど。

 交流の場合、電流と電圧の間に位相差がある。例えばインダクタンスの場合は電流は電圧よりもπ/2だけ遅れた。この「π/2の遅れ」を2次元平面で表現すると「時計周りにπ/2方向の回転」を意味する。この2次元平面を普通の2次元実空間 R2 だとみなすとただただ回るだけだが、複素平面上で考えると「時計周りにπ/2方向の回転」は「jで除する(-jを乗じる)こと」と同義になる。キャパシタンスの場合は、逆に電流は電圧よりもπ/2だけ進む。これは2次元平面で表現すると「反時計周りにπ/2方向の回転」を意味し、複素平面上では「jを乗じること」に等しい。そうやってそれぞれの挙動を複素平面上で表現して、その値を実軸に射影した値がどのように見えるかを表現すれば、実世界での挙動を統一的に記述できると、どこかで誰かが気づいたんだ。(誰? やっぱガウスなのかな?)
 前章で記した4つの表記方法で、直交表示以外は、角度で表現しようとしている。これは「回転」で演算を表記するのにとっても相性がいいからだ。ある2つのもの(というかデキゴト)の絶対値よりは相対関係が問題になるなら、座標に依存した値ではなく、その差が統一的に表せるほうがいいと昔の人は感じたんだろうなぁ。

 こういう、それぞれの挙動を複素平面上で表現して、その値を実軸に射影した値がどのように見えるかという処理で表現したものをフェーサ表記(Phasor notation)と言うらしい。実際の計算は複素数表示で行って、結果だけ実数を見る、というもの。やー、こういうとき工学屋の命名の感覚が数学屋出身の身にはよくわからんなぁ。なんで実質的に同じものに違う名前つけるかなぁ。まあ、いいや。

複素インピーダンス

   電流と電圧をフェーサ表記したとき、その比例定数(要するに「抵抗」みたいなもの)を複素インピーダンスと言う。例えば

Circuit 1

のような回路に電圧として v = Vm*exp(jwt) が与えられているものとする。このとき、キルヒホッフの法則を用いれば次の式を得る。

Ri(t) + Ldi(t)/dt = V

 この1次方程式は i(t) = K*exp(jwt) を特殊解として持つので、これを上式に代入して解くと、

Solution

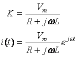
を得る。このとき、この回路のインピーダンスは電圧と電流の比であるから以下のようになる。

Impedance

 この形をよく見ると、[抵抗値]+虚数単位×ω×[インダクタンス]という形式になっている。同様の計算を、回路の素子をコイルからキャパシタンス C のキャパシタに変更して行うと、その回路のインピーダンスは[抵抗値]−虚数単位/ω×[キャパシタンス]という形式になっている。すなわち、電流・電圧をフェーサ表示すると、インピーダンスもフェーサ表示可能(というかそう表示しなければならないんだけれども)ということである。

フェーサ表記

 「フェーサ表記」でいろいろ調べても、どうも言う人によって説明が異なるような気がする。上では「それぞれの挙動を複素平面上で表現して、その値を実軸に射影した値がどのように見えるかという処理で表現したもの」と書いたけど、どうもこれではいま1つ意味を特定できていないような気がする。「表記」というからには表記方法のはずだ。今の説明は「解釈方法」であって、一意の表記方法ではない。

 そもそも「フェーサ(Phasor)」は「フェーズ(phase)」すなわち「位相」、平たく言えば角度にその根を持っているはず。
 そう考えて、上の複素インピーダンスのフェーサ表示の最後の式を見ると、位相に関係する値ωは残っているが、時間に関する項がない! おそらく本質はそっちなんだ。時間に依存しない表現。それによって位相が意味を持つ表記。それがフェーサ表記なんじゃないんだろうか。つまりはこの分野でよく使う、「周波数領域」ってやつ。それなら、フェーサ表記とは周波数領域における電気回路現象の記述方式であるとでも定義してくれたらいいのに。それともこうは言い切れない何かがまだあるのか?


第4章:複素数による表示 → 第6章:直列と並列
Toolbox Logo
Updated : 2007/01/19