|
Location : Home > Energy > Electric Circuit Title : Chapter 1 / The Basic Concepts in Electric Circuit |
![]() |
力学の話であれば、まず「質量 m の物質が存在したとして」というところから話が始められるのだろうし、それにたぶん誰も異を唱えない。けれど、電磁気学とか電気回路とか電子回路の本を何冊か見てみいると、本によって(というとは著者によって、ということだが)何を基本単位とするかが異なっている。
たとえば回路では基本中の基本の単位であるアンペア(電流の単位)とクーロン(電荷の単位)、どちらから始めるべきだろう? 理論的にはどちらから定義しても一貫した体系を組めることは組める。だからこそ、何を基礎として選ぶかで、その世界観が示されてしまう。
唯物的な(…という言い方が妥当かどうかわからんが)考え方からすると、まずは電荷があって、その移動で電流が発生する、というのがフツーな気がする。つまり、まずクーロンを定義して、毎秒1クーロンが移動する電流の量としてアンペアを定義する。でも、参考にしているマグロウヒル大学演習『電気回路』では電流から話を始めている。しかし電流から電荷に話を持っていくのに、
i = dq / dt
と書かれると、あれ? と思ってしまう。これでは電荷で電流を定義していることになる。
は? 何を躊躇しとるかって?
電気の話を電荷から始めるというのは、(それ以上分割できないという意味での)素な要素として電荷、より具体的に言えば電子1個分の電荷を採択したことに等しい。もちろん人間が普段生活しているレベルではそれでも問題がないわけだけれども、素な存在を仮定するところから話が始まってることが、理論構築上筋が通るのか、ってことね。もちろん素領域というか、素な存在を仮定して(いや実在するならそれでいいんだが)そこから構築していく立場も可能だ。けれども、ここ半世紀くらいの最近の物理学の流れって、さまざまな「力」を空間の性質に帰着して説明しようという風潮があるよね。電磁気学でいえば、電場とか磁場から話を構築していくってこと。
わかりやすい立場をとればいいんだろうけど、それだと全体の整合性がとれなくなるような気もする。
それに、実は、個人的には、空間の性質に理論を帰着させるんじゃなくて、運動そのものを基礎にして理論展開できないだろうか(唯動論?)とずっと考えてて、実は「流れ」から始めるほうがいいんじゃなかろうか…と思ってるのねん。まぁ、まだまだ考えがまとまってはいないんだけれど。死ぬまでにまとめられればいいなぁ。
まあ、そんな与太話はさておき、文句はあるものの、参考にしてるマグロウヒル大学演習『電気回路』(以下「タネ本」と記せばコレのことだと思ってくれい)にしたがって電流から話を始める。そのうち書き換えるかも知れないけど。
そんなわけで、この本では電気に関する基本単位を電流のアンペアに求める。アンペアは次式で定められる、2つの電流間の単位長さあたりの力から決定される。(このような2本の電流間に働く力をアンペール力と言う…と習った気がする。)
ただし、d は2電流間の距離、I 及び I' は電流の値、k は比例定数である。この比例定数は真空中の透磁率をμ0 = 4π×107[N/A2] = 0.4 [μH/m]としてμ0/2πで与えられる。
真空中で 1 [m] の間隔で平行に位置している2本の導体中を流れる電流間で、2×10-7 [N/m] の力が発生するとき、その電流の大きさを 1 [A] とする。
Updated : 2006/09/27
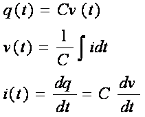
タネ本では「導体中である1点からもう1つの別の点にまで電荷量 q が移動させられるときに、同対中に電流が流れる。電流とは時間に対する電荷の流量の比率であるから」ということで次式を書いている。
…このページの上部でひとしきり文句を垂れたのは、こういうことなのだな。これ、どうみても、q(電荷)で i (電流)を規定している。基本にする何かは右辺に来て、左辺にくる新たな量を定義するという形式にならんとスジが通らんと思うのだが。フムー(--;
それはそれとして、電荷が定義されれば、2つの電荷間に働く力クーロン力を次式で定義できる。
ただし、d は2電荷間の距離、q 及び q' は電荷の値、k は(アンペール力の式中の k とは異なる)比例定数である。この比例定数は真空中の誘電率をε0 = 8.854×10-12[C2/Nm2] = 8.854 [pF/m]として 1/4πε0で与えられる。
Updated : 2006/12/14
電位差はある1点から他の1点まで単位電荷を移動するのに必要な仕事量によって定義される。すなわち1[C]の電荷をある1点から他の1点まで移動するのに1[J]の仕事量が必要であったとき、その2点間の電位差(または電圧)を1ボルト(V)と定義する。
Updated : 2006/12/14
電力は、加えられた電位差とそれにより生じた電流の積により定義される。実にそっけないがこれ以上説明のしようがない。
Updated : 2006/12/14
電力はエネルギー w の時間微分であるから、以下のように記述できる。
Updated : 2006/12/14
電気回路でよく出てくる抵抗・コイル・コンデンサの話なのだけれど、正直なところ、混乱しやすいとこだ。慣れればなんともないんだろうけど。
しかし、以下に述べる、タネ本の説明には目から鱗が落ちた。こういう整理の仕方があったのだなぁ、と感心した。すなわち、
電気エネルギーが与えられたときに、
エネルギーが消費されるならばその回路要素は抵抗体(レジスタ)と呼ばれ、
エネルギーが磁界として蓄積されるならばその回路要素は誘導体(インダクタ)と呼ばれ、
エネルギーが電界として蓄積されるならばその回路要素は容量体(キャパシタ)と呼ばれる。
うーん、見事な説明だ。上のほうで文句言ってすまなかった。

「抵抗の端子間の電位差は抵抗内を流れる電流に直結した比例関係を有する」とネタ本にはある。さっき褒めた舌の根も乾かないうちになんだが、これ、事実なんだろうか。上で「電気エネルギーを与えたときにエネルギーを消費する回路要素」として抵抗を定義したとき、そのときの電流と電圧の間に常に比例関係があるかどうかは確実なことじゃない。ここは単に、「抵抗」における電圧の電圧に対する比率を抵抗値と定義したほうが(それが定数であるか否かには言及しない)ほうが一般性を持つのではないかな。ま、言い回しはともかく式にすると以下のようになる。

回路を流れる電流が変化すると、その回路にまつわる磁束も変化する。この磁束の変化に起因する誘導起電力 v が発生する。このとき、電流の時間微分と誘導起電力の比率を(自己)インダクタンスといい、通常は L で表す。
電位差が[V]、電流が[A]で与えられるなら、インダクタンスの単位は[Vs/A]となるが、これをヘンリー[H]という単位で表す。すなわち、電流が1秒あたり1[A]変化する時に1[V]の起電力が発生するなら、そのインダクタンスを1[H]とする。

回路を流れる電流が変化するとき、電荷を蓄積する回路要素の端子間の電位差と、蓄積された電荷の比率をキャパシタンスといい、通常は C で表す。
電荷が[C]、電位差が[V]で与えられるなら、キャパシタンスの単位は[C/V]となるが、これをファラッド[F]という単位で表す。すなわち、1[V]の電位差をかけた時に1[C]の電荷が蓄積されるようなキャパシタンスは1[F]である。
Updated : 2006/12/14
物理法則と言うのは要するに何かの不変則を示すってことなのだと思う。変化や現象を記述する式にしたって、その式を満たしながら変化するってことは、結局、ある種の条件は変わらないということを示している。状態量そのものは変わるかも知れないが、状態量同士の関係は不変だ、と。
キルヒホッフの法則も数ある不変則の1つで、電気の話ではなくてはならない式だ。考えれば当たり前の式なのに、最初に定式化したおかげで、人類が電気を使う限り語り継がれるだろうねぇ、キルヒホッフという名前は。やったね、キルヒー。
1つの結節点について流入するまたは流出する電流の代数和は0となる。すなわち、ある点に流入する電流の合計は、流出する電流の合計に一致する。
…ってか、もし両者が一致しなければ、それがどこへ行ったか、またはどこから来たのか説明がつかないので。

任意の閉回路について、1周したときの電位差の代数和は0である。すなわち電位の上昇分の総和と下降分の総和は一致する。
もし一致しないならそこにエネルギーを使わないで済む電位差が生じることになり、永久機関が可能になるかも。ってなわけで都合が悪い。
Updated : 2006/12/14
| → 第2章:平均値・実効値 |
![]() |
Updated : 2006/12/14
|