Location : Home > Methods > Statistics
Title : Index of Distribution
Toolbox Logo

Index of Distribution

 データが大量にある場合、ただ漫然と眺めていてもその特徴はつかめない。データ群の特徴を表現するための指標がいくつか存在する。

代表値

 データ全体の特徴をできるだけ簡潔に表現するに、代表値が用いられる。
 最もよく用いられる代表値は平均である。平均は全観測値の合計を観測値の数で割った値である。

平均

 平均値は(加重平均と比較するとわかりやすいが)、全観測値を同じ重み(重要性)と見なした値であり、分布に偏りがあったり、異常値があった場合には適切な代表値とは言えなくなる。逆に言えば平均値は分布が平均値に対して対称的に分布している集団を代表するのに適していると言える。
 平均値以外に観測値の集団の特徴を示す指標に最頻値中央値がある。最頻値とは度数分布表を作成した際に最も度数の多い値(または階級値)のことであり、中央値は、全要素を降順(または昇順)に並べて全体を2分する値のことである。平均値とこれら最頻値・中央値に大きな乖離がなければ分布はほぼ平均値を中心に対称に分布していると考えられる。

分布の形状

 代表値だけではうまくデータ全体の分布を説明できない。分布の形状を示すには別の指標が用いられる。
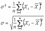
 最もよく用いられる指標は分散または標準偏差である。分散は各観測値の平均値からの乖離の2乗和の平均であり、分散の次元を標本とあわすために平方根をとった値が標準偏差である。

分散・標準偏差

 また、平均と分散が異なる分布同士を比較するには、標準偏差を平均値で割った値である変動係数を用いる。

変動係数

 ただしこれらの指標は平均値からの散らばり具合を表現しているが、分布そのものの偏りを表現できていない。それらを示す指標として歪度(skewness)または尖度(kurtosis)がある。これらは分散が平均値のまわりの2次モーメントであるのに対し、それぞれ3次、4次のモーメントと言える。

歪度・尖度

 歪度 S は平均値の周りに対称に分布していていれば 0 になり、値が正であれば分布が左に、負であれば右に偏っていることを示す。また尖度 K は正規分布であれば 0 になり、値が正であれば分布がより尖っており、負であればより扁平な形状であることを示す。

Toolbox Logo
Updated : 2007/04/25